Full Html
Vol 2 Issue 6
Correlated Electronic and Opto-magnetic Properties of Cobalt Doped GaN
Pages: 153-159
Doi: 10.54738/MI.2022.2601
Doi URL: http://doi.org/10.54738/MI.2022.2601
Zahid Usman?? 1 , Waseem Ahmad 1
1 Department of Physics, Division of Science & Technology, University of Education Lahore, 54000, Pakistan
The effect of cobalt doping on the electronic, magnetic and optical properties of GaN has been investigated using density functional theory (DFT) first-principles calculations within the framework of generalized gradient approximation suggested by Perdew-Burke Ernzerhof and ultrasoft pseudopotential. The electronic band structure of cobalt (Co) doped GaN turns into half metallic rather than semiconducting in its pure form and reduces significantly too. The values of magnetic moment at Co and nitrogen (N) sites are 0.8 μB and 0.12 μB, respectively. The effect of the increase in Co concentration results in reduced spin-polarization and the Co magnetic moment itself. According to phenomenological band structure model, the p-d repulsion increases with increasing Co concentration, which subsequently lowers the spin-polarization and hence the d-d coupling increases due to possible charge transfer between Co t2d and ed states. The Co d-Dos diagram for various doping concentrations exhibits more broadened t2d levels, thus predicting the increase in stability with increase in dopant concentration. The coupling between Co atoms is ferromagnetic, mediated through neighboring Ga and N atoms. The absorption edge of Co-doped GaN manifests a red shift with the increase in doping concentration. These findings are in good agreement with the experimental results. We predict that a lower concentration of cobalt-doped GaN is appropriate for spintronic applications.
Keywords
Gallium nitride, Magnetic moment, p-d repulsion, Optical properties
Modern information technology is predominantly based on semiconductors, where the electronic charge plays vital role. Gallium nitride (GaN), a wide band gap material (~3.39eV), is under extreme focus due to its higher electron drift velocity, and the possibility to work under extreme conditions of pressure and temperature. These properties are enough to declare GaN as a suitable material for high-power, high-frequency devices, lasers, light-emitting diodes and space applications.1 Magnetic storage devices such as hard disks, magneto-optic disks and magnetic tapes are made up of ferromagnetic materials, where the spin of electrons is a key factor. Therefore, it is quite logical to think of hybrid systems by considering both functionalities blended together to improve the performance of electronic devices by carrying out the processing and storing of data simultaneously. This task has been accomplished through the emergence of spintronics. It is quite fascinating and demanding to turn existing semiconductors into magnetic semiconductors via doping with differ?ent transition metals (TM). These semiconductors doped with transition metals are known as dilute magnetic semiconductors (DMS). DMS materials, specifically those of group III-V nitrides, are the inevitable part of spintronics. ?Furdyna et. al 2 has explored this important fact that the exchange interactions among d electrons of transition metals and s and p electrons of host anion are the main cause of magnetic and optoelectronic properties of DMS material 3, 4, 5 . GaN being member of this class of materials has already attained profound consideration due to its room temperature (~ 250K) ferromagnetic characteristics, when doped with Manganese (Mn) 6. The synthesis of single-crystalline chromium (Cr) doped GaN via sodium flux method 7 and Fe doped GaN 8 has spurred much interest in group III-V nitrides recently. Munawar et. al 9, 10, 11 have demonstrated the Ni and cobalt doped GaN experimentally, which show ferromagnetic behaviour even at room temperature. In spite of immense experimental work, the origin of ferromagnetic interactions is still unclear. Therefore, it is imperative to explore the origin of ferromagnetism and predict the magnetic properties of different doped systems.
Density functional theory (DFT) furnishes important reasoning behind existing experimental phenomena. It evaluates the possibility of a certain type of material, corresponding to specific application. Doping GaN with certain transition metals affects not only the structural properties but also their electronic, optic and magnetic properties. Dietal et. al12 have implemented DFT theory, by using double exchange Zener kinetic model13 to explain the ferromagnetic behavior of manganese-doped group III-V semiconductors for the first time. Subsequently indirect exchange interactions, due to the virtual electron excitations arising from the magnetic impurity atoms, are recommended as a possible reason of carrier mediated ferromagnetism14. After that, many first-principles studies have been performed to explore the carrier-induced ferromagnetism through density functional theory 15, 16 using supercell approach and coherent potential approximation approach, by considering DMS as randomly disordered substitutional alloy. It is worth mentioning here that the physics of exchange interaction and subsequently the ferromagnetism is more complex in nitrides as compared to well described arsenides.
The present study is devoted to cobalt (Co) doping in GaN using DFT approach. We have evaluated the effect of Cobalt doping concentration on the structural electronic magnetic and optical properties of GaN. We have initially substituted a single Co atom in 64 atom supercell at gallium (Ga) site to observe its coupling effect with neighbouring nitrogen (N) atoms by analyzing the energy band structure, density of states, magnetic moments and optical properties with respect to pure GaN. Then the effect of doping concentrations of two and three Co atoms on Ga sites is discussed in detail. In addition, we evaluate the effect of doping concentration on the exchange interactions between the dopant and host atoms. The minimum distance between two doped Co atoms is maintained as 3.14 Å, which is sufficient for ferromagnetic coupling 17 . The half-metallic behaviour of cobalt-doped GaN manifests its potential as a suitable spintronic material. The total spin polarization in GaN declines with respect to increasing cobalt concentration and thus the magnetic moment is observed to be decreased. Phenomenological coupling band structure model has been used to get fruitful information about the ordering and the effect of doping concentration in Co-GaN. The absorption edges have been found to be red shifted as the concentration of cobalt increases in (Ga, Co) N, in accordance with the experiments.
In a GaN supercell of 64 atoms, we have constructed different doping systems by replacing single, double and triple cobalt atoms at Ga sites respectively. The critical distance maintained for doubly or triply doped Co atoms is 3.14 Å. This distance is greater than the minimum distance of 2.7 Å needed for ferromagnetic coupling17. In our calculations, we have implemented the experimental lattice parameters (a = 3.190 Å, c = 5.189 Å, c/a = 1.6266)18. The unit cell comprises two Ga atoms occupying (0, 0, 0) and (2/3, 1/3, 1/2), and two N atoms at (0, 0, 3/8) and (2/3, 1/3, 7/8). Plane wave pseudopential method with Generalized gradient approximation suggested by Perdew-Burke Ernzerhof (GGA-PBE) 19 has been used for electron-ion interactions while the ultrasoft pseudopotential method 20 is accounted for electron-electron exchange interactions within the context of spin-polarized density functional theory as implemented in CASTEP code. To explore the electronic, magnetic, and optical properties of Co-doped GaN at the cation site, the expansion of electronic wave functions in plane-wave basis sets is accomplished with cut-off energy of 390eV whereas the Monkhorst-Pack grid of 3*3*5 k points is observed to be sufficient for Brillouin zone integration. During geometry optimization, the lattice parameters and atomic positions are refined iteratively in a mixed space of cell internal parameters and cell degrees of freedom. This iterative process is continued until the forces per atom are less than 0.03eV/ Ao and the energy convergence threshold is 1.0* 10-5 eV/atom. The optimized structure has been further used to calculate the structural, electronic, magnetic and optical properties of Co doped GaN.
The geometry optimization of (Ga, Co) N results in equilibrium lattice parameters, a=3.22Å and c=5.25 Å for cobalt doped GaN, close to experimental lattice parameters (a=3.190Å, c=5.189Å) [18] confirming least distortion occurred upon doping. This overestimation is expected as the ionic radius of Co (0.67Å) is slightly greater than the Ga (0.55Å) 21, 22 . The axial ratio c/a in our case is 1.63 with respect to experimental value of 1.6266 [18] for pure wurtzite GaN. The Co-N and Ga-N bond lengths are 1.974Å and 1.975Å respectively, which shows minute overestimation when compared with Co-N bond length (1.946 Å) calculated through Bath and Hedin proposed local density approximation 10 and experimental value of Ga-N bond length 1.95 Å 23 . This overestimation in lattice parameters and bond lengths is the typical nature of generalized gradient approximation 24 .
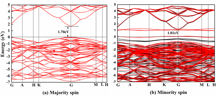
Figure 1 shows the comparison of pure and (Ga, Co) N doped bang gap structures. The minority spins (Figure 1b) show a significant reduction of band gap as compared to the pure GaN (1.70 eV), underestimated as compared to the experimental value of 3.4eV. This band gap is half metallic as the majority spins are semi conducting in nature, while minority spins are metallic, having sufficient Co-3d states lying below the Fermi level.

Figure 1: (a) Band gap for pureGaN, (b) shows the band structure in high symmetry directions for single Co doped GaN.
Further elucidation of cobalt doped GaN band gap structure is carried out with the help of density of states (DOS) as shown in Figure 2. The total spin DOS diagram (2a) further confirms the half metallic behavior, where the spin up electrons are zero and spin down electrons are finite at the Fermi level as shown in single Co doped GaN case. This half metallicity arises because of strong hybridization between Co-3d states and N-2p states. Since the partial densities of states are introduced within the band gap, therefore, significant hybridization between host p states and TM d-states is expected there. As a result, the ferromagnetic state is more likely to happen25, 26 . This polarization further causes neighboring anions to posses a reasonable magnetic moment. The total magnetic moment per Co atom is 0.8μB, while that on three equidistance N atoms is 0.12μB and fourth N atom possesses 0.11μB. The magnetic moment of Co in our case is nearly 50% underestimated as compared to the experimental value of 1.63 μB. The existing theoretical study performed with local density approximation shows extremely overestimated value of magnetic moment in case of single cobalt doped GaN, which may happen due to the inaccurate occupancy of 3d transition metals and wrong location of conduction bands when LDA approximation is used. Recently, it is strongly encouraged to perform first-principle calculations with non-local LDA+U potential, which account for many corrections like band gap corrections due to on-site columbic term. These corrections improve the quality of results and hence the magnetic moment but the delocalization of magnetic impurities and the coupling among vacancies are not affected 27, 28 . Therefore, we have preferred to adopt GGA-PBE method, which provides a sufficiently accurate picture of these issues.

Figure 2: (a) Total DOS (solid lines) and N p-DOS (dotted lines), and (b) Co d-DOS for 1.56%, 3% and 4% Co doping of GaN.
This magnetic moment on the surrounding atom is the measure of delocalization of magnetic moment belonging to TM which is subsequently dependent on p-d hybridization. In order to understand the nature of ferromagnetism, the spin DOS play a vital role. When Ga is substituted by Co, the spin-up DOS are occupied, while the spin down DOS are either empty or partially occupied, therefore, there is strong possibility that the induced moment at anion’s site will be parallel to the Cobalt ion. Similarly, the Ga interacts with the N and carries magnetic moment parallel to N and hence the coupling is ferromagnetic too. It is apparent from Figure 2 (a & b), that when GaN is doped with two Co atoms, the DOS around the Fermi level are increased and shift towards lower energies. The increase in impurity concentration (2.56%) in turn reduces the net spin-polarization at the Fermi level, due to which the magnetic moment of Co is decreased as given in table 1.
Table 1: Table1: The comparison of magnetic moments for(Ga, Co)N
|
|
Magnetic moments (μB) |
||
|---|---|---|---|
|
|
1% impurity |
3% impurity |
4% impurity |
|
Present study |
0.8 |
0.43 |
0.206 |
|
Experiment 10 |
1.63 |
0.21 |
0.14 |
|
LDA-LMTO method 10 |
2.56 |
2.56 |
1.48 |
|
|
|
|
|

Figure 3: The absorption spectra of Co doped GaN for different doping concentrations.
This trend is in accordance with the experiment and first-principle studies [11], and the overall results with GGA-PBE method are fairly consistent with the experiment as compared to those of LDA-LMTO method, which are overestimated a lot. As expected, the magnetic moments endorsed to neighboring N atoms have been reduced due to the decrease in polarization field. These two Co atoms are coupling ferromagnetically with the equal magnetic moments and the interactions between Co atoms are long-range in nature and are interceded due to the magnetic moment of its host sites in GaN. On adding three cobalt atoms at Ga sites, the impurity concentration has increased up to 4%, and the magnetic moment carried by an individual Co atom is 0.206 μB, in excellent agreement with the experimental value of 0.14 μB 10 while the previous first-principles study has predicted a much higher value of 1.48 μB . The DOS diagram (Figure 2), clearly shows that the density of states around Fermi level are increasing, where the small magnetic moment is attributed to the presence of 3d Co states within the band gap region as confirmed by Co d DOS (Figure 2(b)). The order of ferromagnetism in (Ga, Co) N can be discussed in context of phenomenological band coupling model proposed by S. Wei et al 29 ; the energy gained by the system is attributed to the p-d coupling and d-d coupling 25 , which is responsible for the shifting of holes at high energies as compared to electrons. The holes play an important role in stabilization of FM state. The greater the number of holes, more stable would be the ferromagnetic state. As we know that a transition metal (TM) in its isolated state contains five degenerate orbitals (dxy, dxz, dyz, dz² and dx²-y²), oriented in different directions in space. When cobalt is substituted at the Ga site, the degeneracy of d-states breaks down because of columbic repulsion between transition metals and ligand (nitrogen) electrons. This further split Co-d levels into two levels according to tetrahedral crystal field theory. In this case, t2g states (the dxy, dxz, and dyz) are pushed up to higher energies, while eg states (dx²-y², dz²) stay at the bottom with lower energies, due to less anionic coulomb repulsion. So, it means that cobalt offers three electrons in group III-V nitride semiconductors and always exists in a high spin state. Thus, when a single Co atom is doped, the ferromagnetic interactions are highest due to greater magnetic moment and the t2d levels are half-filled. When the impurity concentration is increased, the magnetic moment and hence the exchange interactions decrease. This decrease in exchange interaction means an increase in d-d splitting, whose main reason might be the shifting of charge from t2d to ed state and thus the t2d states are pushed up showing increased p-d repulsion due to the increase in impurity concentration, according to band coupling model. A careful examination of Co d-DOS shows that the increase in Co concentration actually broadens the t2d levels and hence the system is becoming more stable.
The Co doped in GaN improves the optical properties, such as absorption, reflection, energy loss function by reducing the band gap significantly. These optical properties in general and absorption spectrum in particular are subjected to the electron-photon interactions, where the electron hole excitation effects are neglected. That’s why; the absorption spectrum obtained through CASTEP is rough estimation of actual absorption spectrum. The Figure 3 shows absorption spectrum of pure GaN with respect to the absorption spectra calculated for different impurity concentrations. Figure 3 confirms that the Co doping effectively shifts the absorption edges towards low energies and these shifting increases with the increase in impurity concentration. This fact is in accordance with the experimental results [10] where red shift in absorption edges has been proposed with the introduction of cobalt as an impurity within GaN.
In this paper, we have investigated the effect of Co doping on the electronic, magnetic and optical properties of GaN. Further, we have explored the effect of impurity concentration on aforementioned properties. The band structure for Co doped GaN is half metallic and significantly reduces as compared to the pure GaN. The PDOS reveal that this half metallic behavior is due to the finite Co d-DOS in spin down channel. The spin polarization for single Co doping at Ga site is 100% and the Co magnetic moment is calculated to be 0.8 μB which is in reasonable agreement with the experiment. When the doping concentration is increased from 1.56% to 3% and 4%, then spin-polarization and hence the Co magnetic moment per cell decreases as observed experimentally and the magnitudes of magnetic moments for above mentioned Co concentrations in GaN agree well with the experiment. The magnetic moment induced at N neighboring sites is slightly underestimated as compared to LDA results, as the LDA method predicts higher 3d TM state. Since the magnetic moment of Co decreases, therefore a decrease in N magnetic moment is also evident due to decrease in spin-polarization at Fermi level. We have implemented phenomenological band structure model to explore the magnetic ordering. The energy gained by the system is attributed to the p-d coupling and d-d coupling responsible for the shifting of holes at high energies as compared to electrons. When a single Co atom is doped, the ferromagnetic interactions are highest due to greater magnetic moment and the t2d levels are half-filled. When the impurity concentrations are increased, the magnetic moments and hence the exchange interactions decrease subsequently, showing an increase in d-d splitting due to the possible charge transfer between from t2d to ed states and thus the t2d states are pushed up resulting in an increased p-d repulsion due to the increase in impurity concentration. A careful examination of Co d-DOS shows that the increase in Co concentration actually broadening the t2d levels and hence the system is becoming more stable. It is observed that the stability of ferromagnetic state is strongly related to the hole’s concentration and p-d repulsion. The hole’s concentration and the valence bandwidth are found to be increasing with increasing doping concentration and hence the stability of Co doped GaN also increases. The absorption edge of the doped system is red shifted with the increase in doping concentration, which is also observed experimentally.
This research work was supported under the Lab Equipment Subsidy grant, approved by Alexander von Humboldt Foundation, Germany/
Majid, Abdul, Iqbal, Javed & Ali, Akbar . 2010. Structural, Optical and Magnetic Properties of Ce–GaN Based Diluted Magnetic Semiconductor. Journal of Superconductivity and Novel Magnetism 24(1-2):585–590.
Furdyna, J K . 1988. Diluted magnetic semiconductors. Journal of Applied Physics 64(4):29–64.
Ohno, H . 1998. Making Nonmagnetic Semiconductors Ferromagnetic. Science 281(5379):951–956.
Awschalom, David D & Kawakami, Roland K . 2000. Teaching magnets new tricks. Nature 408(6815):923–924.
Wolf, S A, Awschalom, D D, Buhrman, R A, Daughton, J M, von Molna?r, S, Roukes, M L, Chtchelkanova, A Y & Treger, D M . 2001. Spintronics: A Spin-Based Electronics Vision for the Future. Science 294(5546):1488–1495.
Theodoropoulou, N, Hebard, A F, Overberg, M E, Abernathy, C R, Pearton, S J, Chu, S N G & Wilson, R G . 2001. Magnetic and structural properties of Mn-implanted GaN. Applied Physics Letters 78(22):3475–3477.
Park, Sang Eon, Lee, Hyeon-Jun, Cho, Yong Chan, Jeong, Se-Young, Cho, Chae Ryong & Cho, Sunglae . 2002. Room-temperature ferromagnetism in Cr-doped GaN single crystals. Applied Physics Letters 80(22):4187–4189.
Tao, Zhi-Kuo,, Zhang, Rong,, Cui, Xu-Gao,, Xiu, Xiang-Qian,, Zhang, Guo-Yu,, Xie, Zi-Li,, Gu, Shu-Lin,, Shi, Yi, & Zheng, You-Dou, . 2008. Optical and Magnetic Properties of Fe-Doped GaN Diluted Magnetic Semiconductors Prepared by MOCVD Method. Chinese Physics Letters 25(4):1476–1478.
S, Munawar Basha,, S, Ramasubramanian,, R, Thangavel,, M, Rajagopalan, & J, Kumar, . 2010. Magnetic properties of Ni doped gallium nitride with vacancy induced defe. Journal of Magnetism and Magnetic Materials 322(2):238–241.
S, Munawar Basha,, S, Ramasubramanian,, M, Rajagopalan,, J, Kumar,, Tae, Won Kang,, N, Ganapathi Subramaniam, & Younghae, Kwon, . 2011. Investigations on cobalt doped GaN for spintronic applications. Journal of Crystal Growth 38(1):432–435.
Lee, J S, Lim, J D, Khim, Z G, Park, Y D, Pearton, S J & Chu, S N G . 2003. Magnetic and structural properties of Co, Cr, V ion-implanted GaN. Journal of Applied Physics 93(8):4512–4516.
Dietl, Tomasz . 2002. Ferromagnetic semiconductors. Semiconductor Science and Technology 17(4):377–392.
Zener, Clarence . 1951. Interaction between thed-Shells in the Transition Metals. II. Ferromagnetic Compounds of Manganese with Perovskite Structure. Physical Review 82(3):403–405.
Litvinov, V I & Dugaev, V K . 2001. Ferromagnetism in Magnetically Doped III-V Semiconductors. Physical Review Letters 86(24):5593–5596.
Sato, K & Katayama-Yoshida, H . 2002. First principles materials design for semiconductor spintronics. Semiconductor Science and Technology 17(4):367–376.
van Schilfgaarde, Mark & Mryasov, O N . 2001. Anomalous exchange interactions in III-V dilute magnetic semiconductors. Physical Review B 63(23).
Das, G P, Rao, B K & Jena, P . 2004. Ferromagnetism in Cr-doped GaN: A first-principles calculation. Physical Review B 69(21).
Rinke, Patrick, Winkelnkemper, M, Qteish, A, Bimberg, D, Neugebauer, J & Scheffler, M . 2008. Consistent set of band parameters for the group-III nitrides AlN, GaN, and InN. Physical Review B 77(7).
Jaffe, John E, Snyder, James A, Lin, Zijing & Hess, Anthony C . 2000. LDA and GGA calculations for high-pressure phase transitions in ZnO and MgO. Physical Review B 62(3):1660–1665.
Vanderbilt, David . 1990. Soft self-consistent pseudopotentials in a generalized eigenvalue formalism. Physical Review B 41(11):7892–7895.
Ahrens, L. H. . 1952. The use of ionization potentials Part 1. Ionic radii of the elements. Geochimica et Cosmochimica Acta 2(3):155–169.
Malisoff, William Marias . 1941. The Nature of the Chemical Bond. By Linus Pauling. Philosophy of Science 8(1):133.
Vurgaftman, I, Meyer, J R & Ram-Mohan, L R . 2001. Band parameters for III–V compound semiconductors and their alloys. Journal of Applied Physics 89(11):5815–5875.
Stampfl, C & de Walle, C G Van . 1999. Density-functional calculations for III-V nitrides using the local-density approximation and the generalized gradient approximation. Physical Review B 59(8):5521–5535.
Akai, H . 1998. Ferromagnetism and Its Stability in the Diluted Magnetic Semiconductor (In, Mn)As. Physical Review Letters 81(14):3002–3005.
Sato, K, Dederichs, P H, Katayama-Yoshida, H & Kudrnovský, J . 2004. Exchange interactions in diluted magnetic semiconductors. Journal of Physics: Condensed Matter 16(48):5491–5497.
Gao, Feng, Hu, Jifan, Yang, Chuanlu, Zheng, Yujun, Qin, Hongwei, Sun, Li, Kong, Xiangwei & Jiang, Minhua . 2009. First-principles study of magnetism driven by intrinsic defects in MgO. Solid State Communications 149(21-22):855–858.
Wilson, M J . 1978. Occurrence of thaumasite in weathered furnace slag, Merthyr Tydfil. Mineralogical Magazine 42(322):290–291.
Dalpian, Gustavo M, Wei, Su-Huai, Gong, X G, da Silva, Antônio J R & Fazzio, A . 2006. Phenomenological band structure model of magnetic coupling in semiconductors. Solid State Communications 138(7):353–358.
Keywords: Gallium nitride, Magnetic moment, p-d repulsion, Optical properties
Materials Innovations (MI) is an interdisciplinary journal devoted to significant experimental and theoretical findings on the synthesis, structure, charachterization, processing and applications of materials. Materials Innovations is dedicated to publishing peer reviewed novel, cutting edge reports of broad interest to the materials science community.